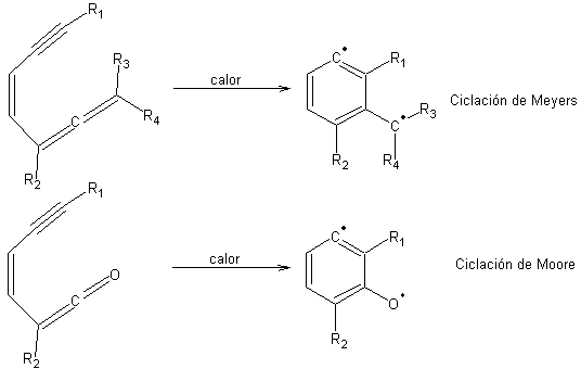
What are Moore and Myers cyclizations?
The Moore and Myers cyclizations are chemical reactions that involve the thermal generation of a biradical through the cyclization of enyne-ketenes in the case of Moore cyclization, or of enyne-allenes in the case of Myers cyclization.

References
- Karlsson, J.O.; Nguyen, N.V.; Foland, L.D.; Moore, H.W. “(2-Alkynylethenyl)ketenes. A new quinone synthesis” J. Am. Chem. Soc. 1985, 107, 3392
- A.G. Myers E.Y. Kuo, N.S. Finney, “Thermal generation of α,3-dehydrotoluene from (Z)-1,2,4-heptatrien-6-yne” J. Am. Chem. Soc. 111, 8057 (1989)
- R. Nagata, H. Yamanaka, E. Okazaki, I. Saito, “Biradical formation from acyclic conjugated eneyne-allene system related to neocarzinostatin and esperamicin-calichemicin” Tetrahedron Letters 30, 4995 (1989)
Full Professor of Organic Chemistry at the University of Granada, with a long-standing research career in Computational Chemistry and molecular modeling and design.