Go to the page with the solutions to the problems.
Transformations in Substituted Aromatic Compounds – problem list
Problem 1)
Propose a method for the preparation of styrene (vinylbenzene) and acetophenone (phenylmethylketone) from ethyl benzene.
Problem 2)
Describe the result of treating 3-methylphenol, with potassium dichromate in the presence of sulfuric acid.
Problem 3)
Prepare the F, Cl, I and Br derivatives of benzene from aniline.
Problem 4)
Design a synthetic route (A, B and C) for the preparation of 1-[(4-hydroxyphenyl)diazenyl]naphthalen-2-ol using naphthalen-2-ol.

Problem 5)
From benzene, prepare diphenyl sulfide.
Problem 6)
Synthesize from benzene the following derivatives:

Problem 7)
Complete the following scheme:

Problem 8)
Describe a method to perform the following transformations:

Problem 9)
Propose a method of synthesis of the following compounds from benzene, assuming that in the case of formation of isomers, these can be separated.

Problem 10)
Prepare the following halogenated derivatives from benzene.

Problem 11)
Synthesize the following compounds starting from nitrobenzene, aniline or phenol, as appropriate.

Problem 12)
Prepare the following compounds from toluene, using the organic and inorganic reagents that you consider necessary.

Problem 13)
Describe the procedure for obtaining 4-bromo-1,2-dimethylbenzene and 1-bromo-2,3-dimethylbenzene from o-xylene.
Problem 14)
p-Aminobenzoic acid is a component of some sunscreens. Devise some feasible procedure for the synthesis of said product from benzene.
Problem 15)
Propose a method for the synthesis of 2-isopropylaniline from aniline.
Problem 16)
Complete the following synthetic route:

Problem 17)
Chlorpromazine is a drug used for the treatment of certain psychic disorders (schizophrenia, acute psychosis, delirium, etc.). Its synthesis can be performed according to the following scheme. Complete it (A, B and C) indicating, in the boxes the type of reaction used in each case.

Problem 18)
Perform the following conversions:

Problem 19)
Predict the structure of the products in the following sequence of reactions:

Problem 20)
Complete the following reactions:

Problem 21)
From benzene obtain the three nitrobenzoic acids (ortho-, meta– and para-).
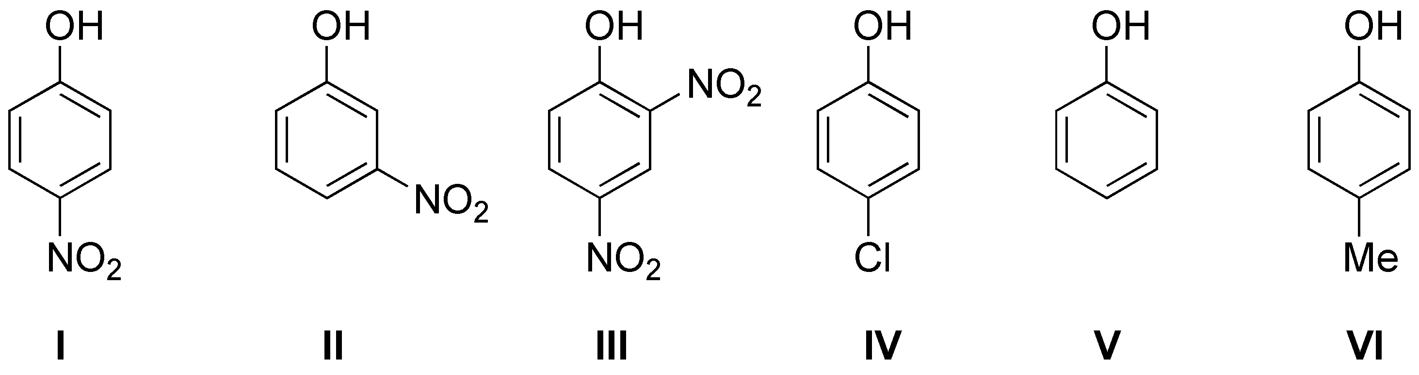
Problem 22)
Order by increasing acidity the following phenols:

Problem 23)
From benzene obtain 3-chlorophenol.
Full Professor of Organic Chemistry at the University of Granada, with a long-standing research career in Computational Chemistry and molecular modeling and design.