What is Pschorr reaction?
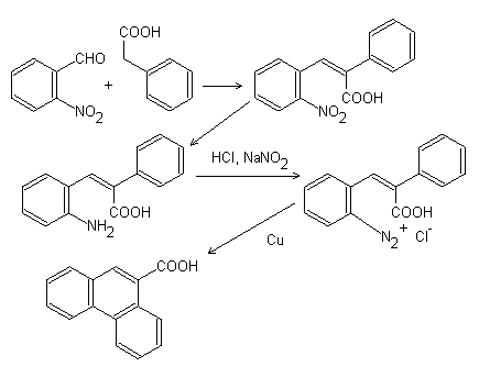
Pschorr reaction is the synthesis of phenanthrene derivatives from diazotized α-aryl-o-aminocinnamic acids by intramolecular arylation.

References
Pschorr, R. (1896), Neue Synthese des Phenanthrens und seiner Derivate. [New synthesis of phenanthrene and its derivatives] Ber. Dtsch. Chem. Ges., 29: 496-501. https://doi.org/10.1002/cber.18960290198
Full Professor of Organic Chemistry at the University of Granada, with a long-standing research career in Computational Chemistry and molecular modeling and design.