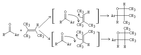
What is Paternò-Büchi reaction?
The Paternò-Büchi reaction involves the photochemical cycloaddition of carbonyl compounds to olefins, resulting in the formation of oxetanes.

References
- E. Paternò, G. Chieffi, “Sintesi in chimica organica per mezzo della luce. Nota II. Composti degli idrocarburi non saturi con aldeidi e chetoni” Gazz. Chim. Ital. 39, 341 (1909)
- Light-catalyzed Organic Reactions. I. The Reaction of Carbonyl Compounds with 2-Methyl-2-butene in the Presence of Ultraviolet Light
G. Büchi, Charles G. Inman, and E. S. Lipinsky
Journal of the American Chemical Society 1954 76 (17), 4327-4331
DOI: 10.1021/ja01646a024
Full Professor of Organic Chemistry at the University of Granada, with a long-standing research career in Computational Chemistry and molecular modeling and design.